Skip to main content
Science Knowledge
Science Knowledge
Home
About Different Curriculum
Physics Content
Physics Introduction
Software Recommendation
Physics (Fun Experiments)
Lab Report
Fun Physics Topics
Basic Math Background
Unit Conversion
Pythagorean Theorem and Trigonometry
Trigonometry Problems
Derivative and Integral
IB Physics
IB Physics Past Problems
Measurement and Uncertainty
SI Units
Different Measurment Tools
Significant Figures
Uncertainty and Error
Vector and Scalar
Revision and Test
Mechanics
Motion in One Dimension
Vector and Scalar
Motion Diagram
Kinematic Equations 1D
Free Fall Motion
Revision
Test
Motion in Two Dimension
Projectile Motion
Motion in An Inclined Plane
Challenging Problems
Terminal Velocity
Motion Diagram
Revision and Test
Forces and Newton's Law
Different Forces
Newton's Laws
Revision and Test
Momentum and Impulse
Momentum and Impulse
Conservation of Momentum
Work, Energy, and Power
Work and Energy
Power
Conservation of Energy
Revision and Test
Mechanics Revision (IB Students)
Thermal Physics
Important Concepts
Modeling a Gas
Revision and Test
Waves
Travelling Waves
Wave Characteristics
Wave Behavior
Revision and Test
Electricity and Magnestism
Electric Field
Heating Effect of Electric Current
5.4 Magnetic Field
Revision and Test
Circular Motion and Gravitation
Circular Motion
Gravitation
Revision and Test
Wave Phenomenon
Atomic Physics
Atomic, Nuclear, and Particle Physics
Nuclear Reactions
Revision and Test
Field
Describing Field
Field at Work
Revision and Test
Quantum Physics
Engineering Physics
Fluid and Dynamics Fluid
Pascal and Archimedes’ Principle
Atmospheric Pressure
Continuity Equation
Bernoulli’s Equation
Revision and Test
Resonance and Vibration
Internal Assessment
Guidance
Electricity and Magnetism
Charges, Electric Force, Field
Charges and Coulomb's Law
Electric Field
Revision and Test
Gauss's Law
Revision and Test
Exams
Theoretical Mechanics
Special Relativity
Chemistry
IB Chemistry
IB Chemistry Powerpoint
Introduction of Chemistry
Stoichiometry
Atomic Structure
Atomic Structure Introduction
Electron Configuration
Test and Revision
Periodicity
Periodic Table
Periodic Trends
Bonding
Ionic Bonding
Covalent Structure
Intermolecular Force
Thermodynamics
Measuring Energy Changes
Bond Enthalpy
Revision and Test
Rate of Reaction
Collision Theory
T6 Revision and Test
Equilibrium
Acid and Base
Measurement and Data Processing
Uncertainty and Error
IB Chemistry Revision
IB Math AA HL
Fun Videos
Past Problems
Number and Algebra
Sequence, Series, and Sigma Notation
Exponent and Logarithm
Proofs
Counting Principle and Binomial Theorem
Partial Fraction
Revision and Test
Calculus
Exercise Problems
IB Textbooks
Search
Binomial Theorem
Learning Objectives
Permutation
Combination
Pascal Triangle
Binomial Expansion
Pop Quiz!!!
Click to see answer
Practice Questions
Binomial Theorem
Word – 19.9 KB
215 downloads
Download
Binomial Theorem
PDF – 96.8 KB
206 downloads
Download
Binomial Series
Learning Objectives
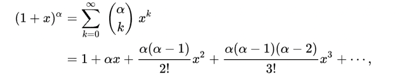
Binomial theorem with negative power
Polynomial expansion with negative power
Note: This is a HL content